
Bennett Velasquez
CHARGES REPORTED IN NEWS ARTICLES
AGAINST BENNETT VELASQUEZ
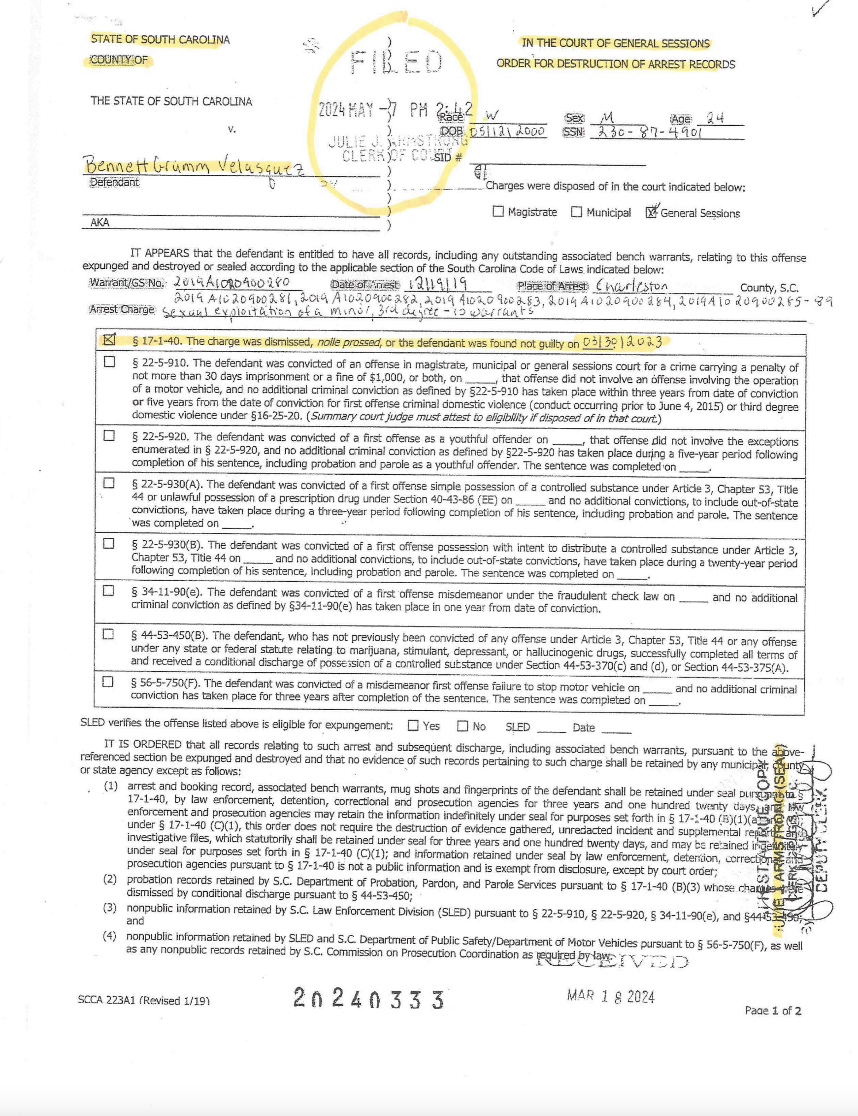
DISMISSED AND EXPUNGED
Regarding Online Media Reports
Media reports at the outset of a case, prior to the conclusion of a thorough investigation and forensic examination, are notoriously riddled with inaccuracies, speculation, and innuendo.
The fact that the child exploitation charges were dismissed show that the innuendo was damaging and unfair to a then 18 year old young man.
It is crucial to understand that these reports held no correlation with the actual evidence, outcome, and conclusion of the case.
That is why there was a dramatic exoneration of Bennett Velasquez by way of dismissal of the original allegations in the news accounts.
Overall Summary
Unfortunately, what happened to Bennett Velasquez at the age of 18 could have happened to
anyone in this age of technology. Sadly, it is an area where someone is “assumed guilty” until proven innocent.
BUT, following an extensive investigation, as well as a full forensic examination, the authorities agreed the matter did not involve “child porn” (child exploitation) and so all the child exploitation charges were dismissed. This is why Bennett Velasquez is not on any registry and is not a registered sex offender.
Further, the forensics helps to explain how Bennett Velasquez was able to pass a polygraph test at age 18, immediately after the investigation commenced and with no indicators of deception or other issues as well as explain why he cooperated with law enforcement throughout the process.
Forensic digital evidence, which is critical in these matters, did show that there were multiple unknown IP addresses from around the country, malicious or otherwise, and that they may have breached an account belonging to Bennett Velasquez and the school organization he was president of.
The South Carolina State Law Enforcement Agency’s (SLED) pubic records (which are the officials public records) confirms that those charges were dismissed.

